北理工团队在非晶体系结构与动力学关联上取得重要研究进展
发布日期:2022-06-30 供稿:物理学院 摄影:物理学院
编辑:王莉蓉 审核:姜艳 阅读次数:
近日,安博官方网站物理学院李艳伟研究员、姚裕贵教授同新加坡南洋理工大学数学物理学院Massimo Pica Ciamarra教授合作,在非晶体系结构与动力学关联问题上取得重要进展。提出塑性关联长度可用于预测较长时间尺度下非晶体系的复杂动力学行为,如动力学变慢及动力学异质性。该研究创新性的建立了塑性与动力学的关联,为非晶玻璃化转变这一公认学术难题提供了新的思路。该研究工作发表在物理学顶尖期刊Physical Review Letters上。
液体降温过程中,可能会在低于结晶温度时不结晶,形成过冷液体,进一步降温,过冷液体会经历玻璃化转变形成非晶固体。玻璃化转变机制是统计物理,软物质物理,高分子物理等领域中的公认难题。液体-非晶固体转变过程中,体系黏度可有近14个量级的攀升,而其静态结构却变化不大,保持长程无序的状态,这与液体-晶体转变截然不同。此外,在非晶液-固转变过程中,体系的动力学会越来越慢,动力学关联函数呈现两步松弛,并伴随体系不同区域粒子运动快慢不同等复杂而有趣的现象。玻璃体系动力学与体系结构有没有关系,如果有关系,是什么样的结构性质决定体系的动力学的?围绕这一问题,文献中报道了诸如基于局部弹性性质与动力学的关联,如通过描述粒子振动强度的Debye-Waller因子,或其简谐近似下的均方位移,或低频振动模的参与分数来预测体系中的快慢粒子。然而这些弹性性质在较短时间与动力学有对应关系,而在较长时间尺度,如弛豫时间的尺度,与动力学关联较弱。寻求新的视角理解玻璃化转变中结构与动力学的关联显得尤为重要。

图1 (a) 对粒子施加一外力,其大小f = 100时 (阴影区时间间隔内),粒子平均位移随时间的变化,黑色虚线表示较长时间下平均位移趋近一平台值,即不可逆位移L(T, f)。(b) 不同外力大小时,不可逆位移L(T, f)随温度的依赖规律。
团队设计了新的探测玻璃体系静态结构的手段,具体为,在短时间内,对粒子施加一固定大小,方向随机选取的力,观察撤去力之后,粒子不能回弹的位移,即不可逆位移有多大。图1(a)展示了当对粒子在0.1(约化单位)时间间隔内施加一外力大小为f = 100(约化单位)的力时,粒子平均位移随时间的演化规律。较长时间下,此平均位移趋近一平台值,即黑色虚线标出的不可逆位移L(T, f),显然,温度越低,不可逆位移L(T, f)越小。近一步的研究发现,L(T, f)正比于 T - T 0 (图1 (b)),其中 T 0为Vogel–Fulcher–Tammann (VFT) 方程预测的非晶体系的理想玻璃化转变点,因此,L(T, f)在理想玻璃化转变点外推为0。进一步分离变量,我们可得到L(T, f) = ξ(T)A(f), 其中塑性长度ξ(T)∝( T - T 0 ), A(f) ∝( f - f 0)。塑性长度ξ(T)与体系弛豫时间存在指数依赖关系(图2),因此建立了塑性长度与非晶体系慢动力学的联系。

图2 体系弛豫时间与塑性关联长度的依赖关系。
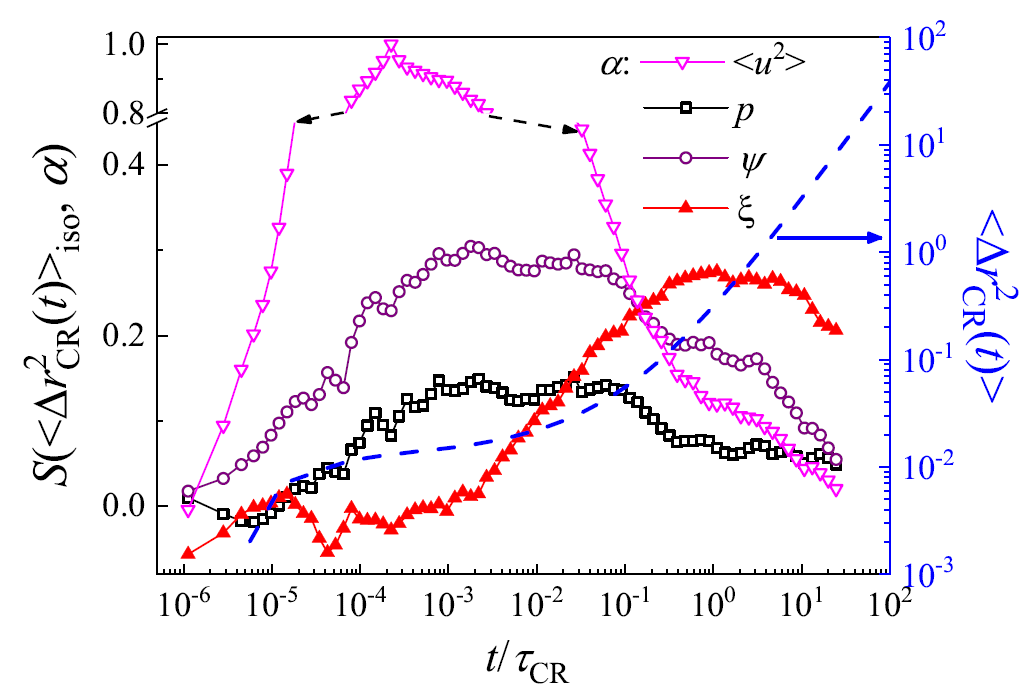
为了探索塑性长度与体系动力学异质性之间的关联,计算了每个粒子的同构型(iso-configurational ensemble)系综下的平均均方位移<∆ r 2CR( t )>iso,并通过Spearman等级相关系数定量表征了动力学参数<∆ r 2CR( t )>iso与静态参数的关联。为了对比,静态参数除了我们提出的塑性长度外,还包含三个常见的通过弹性性质定义的量,包括Debye-Waller因子< u 2>,其简谐近似下的均方位移ψ,以及低频振动模的参与分数p。结果表明,弹性性质的相关量仅在较小的振动尺度与动力学存在关联,而塑性长度在弛豫时间或更长时间尺度与动力学存在关联 (图3)。这展现出塑性长度可能是与体系弛豫行为更相关的一个静态量。为玻璃化转变结构与动力学关联问题探索了一个新思路。

图3 不同的静态量包括Debye-Waller因子< u 2>,其简谐近似下的均方位移ψ,低频振动模的参与分数p,以及塑性长度ξ与动态量<<∆r2CR(t)>>的Spearman等级相关系数S。
相关工作发表在Physical Review Letters上,安博官方网站物理学院李艳伟研究员为第一作者兼通讯作者,安博官方网站物理学院姚裕贵教授和新加坡南洋理工大学Massimo Pica Ciamarra为论文共同通讯作者。该工作第一单位为安博官方网站物理学院,并得到国家自然科学基金、安博官方网站青年学者学术启动计划等项目的支持。
分享到:
